大法弟子《正告老鼠书》
法轮功就是能整事儿,“正告书”写遍苍蝇、蚊子、蟑螂、老鼠,甚至还“与睡美宝、睡眠之宝、椰海蚊帐沟通”。这方面的相关资料可参见凯风网文章《独家曝光:法轮功“正告蚊子书”(图)》、《独家曝光:法轮功“正告老鼠书”(图)》、《大法弟子与苍蝇、蚊子的荒唐对白》等。这些“正告书”内容奇葩,想象丰富,令人啼笑皆非。若以一字评之,就是个“邪”。那它邪在哪里呢?
邪在违背常识,对牛弹琴
蚊、蝇、蟑、鼠都是动物,不识人事,不通人语,不修人性。即使专门培训,也不可能真正地与人沟通。可痴轮偏要说梦,要跟向它们喊话、做宣传。一封封“正告书”,居然都费尽心机地来一番语重心长的谆谆劝告,如此对蝇弹琴、对蚊弹琴、对蟑弹琴、对鼠弹琴,如痴如傻,真是邪乎得可以。都说徒儿痴,哪有师父癲?李洪志告诉弟子,修炼到一定程度,会“发现石头、墙,什么东西都会跟你说话,打招呼”(《转法轮》),既然如此,痴迷弟子对牛弹琴,大写特写“正告书”,又有什么可奇怪的呢?
邪在不信科技,崇迷巫觋
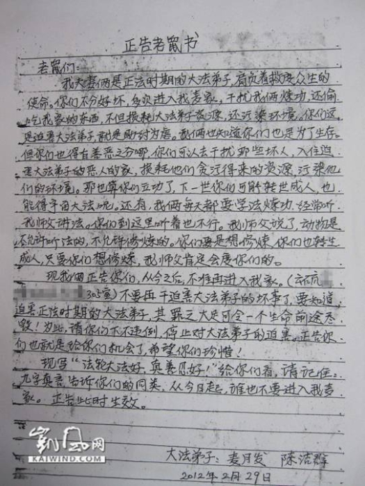
人类科技发展到今天,有效的驱虫灭鼠方法即使还达不到完满,也已经基本成熟。虫害鼠祸,都可用科学方法来驱除、灭杀。可“正告书”的作者根本不相信现代科技手段,而是像“画符驱鬼”那样,迷信巫术。广东省云浮市法轮功痴迷人员麦月发、陈洁群夫妇先后向蚊子、老鼠、蟑螂发出“正告”,要求它们不要干扰“助师正法”,并不忘强调一下“正告此时生效”,结果当然是毫无效果。在张贴《正告蚊子书》无效之后,不是想着科技驱蚊,而是与床架、床垫、蚊帐交流,要求“宝床”为其提供优质服务、“助师正法”。如此执迷不悟,崇迷巫觋,实在是邪了门儿了。
邪在自私护轮,移祸他人
眼下爆料的几封“正告书”,都有这样一个“主题”:让虫鼠不要危害大法弟子,转而去危害他人。比如:“你们(蚊子)也可以去咬那些坏人,去咬那些迫害大法弟子的恶人。”“你们(苍蝇)不能随便趴在大法弟子的食物上干扰迫害大法弟子!你们可以干扰迫害那些迫害大法弟子的恶人。”“你们(老鼠)可以去干扰那些坏人,入住迫害大法弟子的恶人的家,损耗他们贪污得来的资源,污染他们的环境。”瞧瞧,大法不可害,他人皆可祸,这就是法轮功的“真善忍”、“做好人”!
邪在妄思臆想,以己度“它”
有一封《正告蚊子书》写道:“请你们有灵性的、有文化的,互相之间转告一声灵性差、文化差的同伴同类”,转告什么呢?内容如下:“你们立功了,下一世你们可能会转世成人,也能得到宇宙大法呢!……只要你想修,我师父肯定会度你们的。”(按,《正告老鼠书》有言同此)将蚊子按“有无灵性,有无文化”区分为不同层次,纯属妄思臆想,以己度虫。承诺蚊鼠将罪立功,“转世成人得大法”,以为动物也以得“宇宙大法”为荣,真是满嘴胡话,邪劲十足。
大法弟子《正告蝇子书》
此外,法轮功痴迷者的“正告书”还言必称“助师正法”、“反对迫害”,连蚊、蝇、蟑、鼠都可能是“政治迫害”的施加者,如此“轮式思维”,雷倒众生,遗笑天下,实在是邪爆了。
“正告书”之邪,乃法轮功之邪的折射。“正告书”的荒唐,就是法轮功的荒唐。撰写、张贴“正告书”的痴迷者,误登邪船,把自己修成了“痴傻型神仙”,他们也是受害者。衷心地希望他们早日醒悟,回归正常人生。

